Рассмотрим однородную систему дифференциальных уравнений третьего порядка
Здесь x(t), y(t), z(t) - искомые функции на промежутке (a, b), a ij (i, j =1, 2, 3) - вещественные числа.
Запишем исходную систему в матричном виде
,
где
Решение исходной системы будем искать в виде
,
где
, C 1 , C 2 , C 3 - произвольные постоянные.
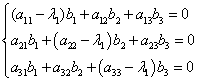
Чтобы найти фундаментальную систему решений, нужно решить так называемое характеристическое уравнение
Это уравнение является алгебраическим уравнением третьего порядка, следовательно оно имеет 3 корня. При этом возможны следующие случаи:
1. Корни (собственные значения) действительны и различны.
2. Среди корней (собственных значений) есть комплексно-сопряженные, пусть
- действительный корень
=
3. Корни (собственные значения) действительны. Один из корней кратный.
Чтобы разобраться, как действовать в каждом из этих случаев, нам понадобятся:
Теорема 1.
Пусть - попарно различные собственные значения матрица А, а - соответствующие им собственные векторы. Тогда
образуют фундаментальную систему решений исходной системы.
Замечание
.
Пусть - действительное собственное значение матрица А (действительный корень характеристического уравнения), - соответствующий ему собственный вектор.
= - комплексные собственные значения матрицы А, - соответствующий - собственный вектор. Тогда
(Re - действительная часть, Im - мнимая)
образуют фундаментальную систему решений исходной системы. (Т.е. и = рассматриваются вместе)
Теорема 3.
Пусть - корень характеристического уравнения кратности 2. Тогда исходная система имеет 2 линейно независимых решения вида
,
где , - постоянные вектора. Если же кратности 3, то существует 3 линейно независимых решения вида
.
Векторы находятся подствалением решений (*) и (**) в исходную систему.
Чтобы лучше понять метод нахождения решений вида (*) и (**), смотри разобранные типичные примеры ниже.
Теперь рассмотрим более подробно каждый из вышеописанных случаев.
1. Алгоритм решения однородных систем дифференциальных уравнений третьего порядка в случае различных действительных корней характеристического уравнения.
Дана система
1) Составляем характеристическое уравнение
- действительные и различные собственные значения 9корни этого уравнения).
2)Строим , где
3)Строим , где
- собственный вектор матрицы А, соответствующий , т.е. - любое решение системы
4)Строим , где
- собственный вектор матрицы А, соответствующий , т.е. - любое решение системы
5)
составляют фундаментальную систему решений. Далее записываем общее решение исходной системы в виде
,
здесь C 1 , C 2 , C 3 - произвольные постоянные,
,
или в координатном виде
Расмотрим несколько примеров:
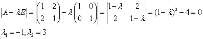
Пример 1.
![]()

2) Находим
3)Находим
4)Вектор-функции![]()
![]()
или в координатной записи
Пример 2.

1)Составляем и решаем характеристическое уравнение:
2) Находим
3)Находим
4)Находим
5)Вектор-функции
образуют фундаментальную систему. Общее решение имеет вид
или в координатной записи
2. Алгоритм решения однородных систем дифференциальных уравнений третьего порядка в случае комплексно-сопряженных корней характеристического уравнения.
- действительный корень,
2)Строим , где
3) Строим
| - собственный вектор матрицы А, соответствующий , т.е. удовлетворяет системе |
Здесь Re - действительная часть
Im - мнимая часть
4) составляют фундаментальную систему решений. Далее записываем общее решение исходной системы:
, где
С 1 , С 2 ,С 3 произвольные постоянные.
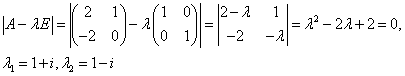
Пример 1.

1) Составляем и решаем характеристическое уравнение
2)Строим

3) Строим
, где

Первое уравнение сократим на 2. Затем ко второму уравнению прибавим первое, умноженное на 2i, а от третьего уравнения отнимем перове, умноженное на 2.
Далее
Следовательно,
4) - фундаментальная система решений. Запишем общее решение исходной системы:
Пример 2.
![]()
1) Составляем и решаем харктеристическое уравнение
2)Строим
(т.е. и рассматриваем вместе), где

Второе уравнение умножим на (1-i) и сократим на 2.

Следовательно,![]()
3)
Общее решение исходной системы
или
2. Алгоритм решения однородных систем дифференциальных уравнений третьего порядка в случае кратных корней характеристического уравнения.
Составляем и решаем характеристическое уравнение
Возможны два случая:![]()
Рассмотрим случай а) 1) , где
| - собственный вектор матрицы А, соответствующий , т.е удовлетворяет системе |
2) Сошлемся на Теорему 3, из которой следует, что существуют два линейно независимых решения вида
,
где , - постоянные векторы. Их возьмем за .
3) - фундаментальная система решений. Далее записываем общее решение исходной системы:
Рассмотрим случай б):
1) Сошлемся на Теорему 3, из которой следует, что существует три линейно независимых решения вида
,
где , , - постоянные векторы. Их возьмем за .
2) - фундаментальная система решений. Далее записываем общее решение исходной системы.
Чтобы лучше понять как находить решения вида (*), рассмотрим несколько типичных примеров.
Пример 1.

Составляем и решаем характеристическое уравнение:
Имеем случай а)
1) Строим
, где

Из второго уравнения вычитаем первое:
? третья строка подобна второй, ее вычеркиваем. Из первого уравнения вычтем второе:
2) = 1 (кратность 2)
Этому корню по Т.3 должно соответствовать два линейно независимых решения вида .
Попробуем найти все линейно незваисимые решения, у которых , т.е. решения вида
.
Такой вектор будет решением тогда и только тогда, когда - собственный вектор, соответствующий =1, т.е.
, или
, вторая и третья строки подобны первой, выкидываем их.![]()
Система свелась к одному уравнению. Следовательно, имеется два свободных неизвестных, например, и . Дадим им сначала значения 1, 0; потом значения 0, 1. Получим такие решения:
.
Следовательно,
.
3) - фундаментальная система решений. Осталось записать общее решение исходной системы:
.
.. Таким образом существует только одно решение вида
Подставим X 3 в эту систему:
Вычеркнем третью строку (она подобна второй). Система совместна (имеет решение) при любом с. Пусть с=1.
или
Дифференциальные уравнения высших порядков
Основная терминология дифференциальных уравнений высших порядков (ДУ ВП).
Уравнение вида , где n >1 (2)
называется дифференциальным уравнением высшего порядка, т. е. n -го порядка.
Область определения ДУ, n -го порядка есть область .
В данном курсе будут рассматриваться ДУ ВП следующих видов:

Задача Коши ДУ ВП:
Пусть дано ДУ ,
и начальные условия н/у: числа .
Требуется найти непрерывную и n раз дифференцируемую функцию
:
1
)
является решением данного ДУ на , т. е.
;
2) удовлетворяет заданным, начальным условиям: .
Для ДУ второго порядка геометрическая интерпретация решения задачи заключается в следующем: ищется интегральная кривая, проходящая через точку (x 0 , y 0 ) и касающаяся прямой с угловым коэффициентом k = y 0 ́ .
Теорема существования и единственности (решения задачи Коши для ДУ (2)):
Если 1)
непрерывна (по совокупности (n
+1)
аргументов) в области
; 2)
непрерывны (по совокупности аргументов
) в , то
! решение задачи Коши для ДУ , удовлетворяющее заданным начальным условиям н/у:
.
Область называется областью единственности ДУ.
Общее решение ДУ ВП
(2) – n
-параметрическая
функция ,
, где
– произвольные постоянные, удовлетворяющая следующим требованиям:
1) 
– решение ДУ (2) на ;
2)
н/у из области единственности !
:
удовлетворяет заданным начальным условиям.
Замечание .
Соотношение вида
, неявно определяющее общее решение ДУ (2) на называется общим интегралом
ДУ.
Частное решение
ДУ (2) получается из его общего решения при конкретном значении
.
Интегрирование ДУ ВП.
Дифференциальные уравнения высших порядков, как правило, не решаются точными аналитическими методами.
Выделим некоторого вида ДУВП, допускающих понижения порядка и сводящихся к квадратурам. Сведем в таблицу эти виды уравнений и способы понижения их порядка.
ДУ ВП, допускающие понижения порядка
Способ понижения порядка |
||
ДУ неполное, в нём отсутствуют |
И т.д. После n кратного интегрирования получится общее решение ДУ. |
|
Уравнение неполное; в нём явно не содержится искомая функция Например, | Подстановка
понижает порядок уравнения на k единиц. |
|
Неполное уравнение; в нём явно не содержится аргумента | Подстановка
понижается порядок уравнения на единицу. |
|
Уравнение в точных производных, оно может быть полным и неполным. Такое уравнение можно преобразовать к виду (*) ́= (*)́, где правая и левая части уравнения есть точные производные некоторых функций. | Интегрирование правой и левой части уравнения по аргументу понижает порядок уравнения на единицу. |
|
Подстановка понижает порядок уравнения на единицу. |
Определение однородной функции:
Функция
называется однородной по переменным
, если 

в любой точке области определения функции
;
– порядок однородности.
Например, – функция однородная 2-го порядка относительно
, т.е. .
Пример 1 :
Найти общее решение ДУ
.
ДУ 3-го порядка, неполное, не содержит явно
. Последовательно интегрируем уравнение три раза.
,
– общее решение ДУ.
Пример 2 :
Решить задачу Коши для ДУ
при 
.
ДУ второго порядка, неполное, не содержит явно
.
Подстановка
и ее производная
понизит порядок ДУ на единицу.
. Получили ДУ первого порядка – уравнение Бернулли. Для решения этого уравнения применим подстановку Бернулли:
,
и подставим в уравнение.



На этом этапе решим задачу Коши для уравнения
:
.
– уравнение первого порядка с разделяющимися переменными.
В последнее равенство подставляем начальные условия:
Ответ:
– решение задачи Коши, удовлетворяющее начальным условиям.
Пример 3:
Решить ДУ.
– ДУ 2-го порядка, неполное, не содержит явно переменную , и поэтому допускает понижение порядка на единицу с помощью подстановки или
.
Получим уравнение
(пусть
).
– ДУ 1-го порядка с разделяющими переменными. Разделим их.
– общий интеграл ДУ.
Пример 4 :
Решить ДУ.
Уравнение
есть уравнение в точных производных. Действительно,
.
Проинтегрируем левую и правую части по , т. е.
или . Получили ДУ 1-го порядка с разделяющимися переменными т. е.
– общий интеграл ДУ.
Пример5 :
Решить задачу Коши для
при .
ДУ 4-го порядка, неполное, не содержит явно
. Заметив, что это уравнение в точных производных, получим
или
,
. Подставим в это уравнение начальные условия:
. Получим ДУ
3-го порядка первого вида (см. таблицу). Проинтегрируем его три раза, и после каждого интегрирования в уравнение будем подставлять начальные условия:








Ответ:
- решение задачи Коши исходного ДУ.
Пример 6 :
Решить уравнение.
– ДУ 2-го порядка, полное, содержит однородность относительно
. Подстановка
понизит порядок уравнения. Для этого приведем уравнение к виду
, разделив обе части исходного уравнения на
. И продифференцируем функцию p
:
.
Подставим
и
в ДУ:
. Это уравнение 1-го порядка с разделяющимися переменными .
Учитывая, что
, получим ДУ или
– общее решение исходного ДУ.
Теория линейных дифференциальных уравнений высшего порядка.
Основная терминология.
– НЛДУ
-го порядка, где – непрерывные функции на некотором промежутке .
Называется интервалом непрерывности ДУ (3).
Введем (условный) дифференциальный оператор -го порядка
При действии его на функцию , получим
Т. е. левую часть линейного ДУ -го порядка.
Вследствие этого ЛДУ можно записать
![]()
Линейные свойства оператора
:
1) – свойство аддитивности
2)
– число – свойство однородности
Свойства легко проверяются, т. к. производные этих функций обладают аналогичными свойствами (конечная сумма производных равна сумме конечного числа производных; постоянный множитель можно вынести за знак производной).
Т. о.
– линейный оператор.
Рассмотрим вопрос существования и единственности решения задачи Коши для ЛДУ
.
Разрешим ЛДУ относительно
: ,
, – интервал непрерывности.
Функция непрерывная в области , производные
непрерывны в области
Следовательно, область единственности , в которой задача Коши ЛДУ (3) имеет единственное решение и зависит только от выбора точки
, все остальные значения аргументов
функции
можно брать произвольными.
Общая теория ОЛДУ .
– интервал непрерывности.
Основные свойства решений ОЛДУ:
1. Свойство аддитивности
(
– решение ОЛДУ (4) на )
(
– решение ОЛДУ (4) на ).
Доказательство:
– решение ОЛДУ (4) на 
– решение ОЛДУ (4) на 
Тогда 
2. Свойство однородности
( – решение ОЛДУ (4) на ) (
(
– числовое поле))
– решение ОЛДУ (4) на .
Доказывается аналогично.
Свойства аддитивности и однородности называются линейными свойствами ОЛДУ (4).
Следствие:
(
– решение ОЛДУ (4) на )(
– решение ОЛДУ (4) на ).
3. ( – комплексно-значное решение ОЛДУ (4) на )(
– действительно-значные решения ОЛДУ (4) на ).
Доказательство:
Если – решение ОЛДУ (4) на , то при подстановке в уравнение обращает его в тождество, т. е.
.
В силу линейности оператора , левую часть последнего равенства можно записать так:
.
Это значит, что , т. е. – действительно-значные решения ОЛДУ (4) на .
Последующие свойства решений ОЛДУ связаны с понятием “линейная зависимость ”.
Определение линейной зависимости конечной системы функций
Система функций называется линейно зависимой на , если найдётся нетривиальный
набор чисел
такой, что линейная комбинация
функций
с этими числами тождественно равна нулю на , т. е.
.n
, что неверно. Теорема доказана.дифференциальные
уравнения
высших
порядков
(4 час...
Обыкновенным дифференциальным уравнением называется уравнение, связывающее независимую переменную, неизвестную функцию этой переменной и её производные (или дифференциалы) различных порядков.
Порядком дифференциального уравнения называется порядок старшей производной, содержащейся в нём.
Кроме обыкновенных изучаются также дифференциальные уравнения с частными производными . Это уравнения, связывающие независимые переменные , неизвестную функцию этих переменных и её частные производные по тем же переменным. Но мы будем рассматривать только обыкновенные дифференциальные уравнения и поэтому будем для краткости опускать слово "обыкновенные".
Примеры дифференциальных уравнений:
(1)
;
(3)
;
(4)
;
Уравнение (1) - четвёртого порядка, уравнение (2) - третьего порядка, уравнения (3) и (4) - второго порядка, уравнение (5) - первого порядка.
Дифференциальное уравнение n -го порядка не обязательно должно содержать явно функцию, все её производные от первого до n -го порядка и независимую переменную. В нём могут не содержаться явно производные некоторых порядков, функция, независимая переменная.
Например, в уравнении (1) явно нет производных третьего и второго порядков, а также функции; в уравнении (2) - производной второго порядка и функции; в уравнении (4) - независимой переменной; в уравнении (5) - функции. Только в уравнении (3) содержатся явно все производные, функция и независимая переменная.
Решением дифференциального уравнения называется всякая функция y = f(x) , при подстановке которой в уравнение оно обращается в тождество.
Процесс нахождения решения дифференциального уравнения называется его интегрированием .
Пример 1. Найти решение дифференциального уравнения .
Решение. Запишем данное уравнение в виде . Решение состоит в нахождении функции по её производной. Изначальная функция, как известно из интегрального исчисления , есть первообразная для , т. е.
Это и есть решение данного дифференциального уравнения . Меняя в нём C , будем получать различные решения. Мы выяснили, что существует бесконечное множество решений дифференциального уравнения первого порядка.
Общим решением дифференциального уравнения n -го порядка называется его решение, выраженное явно относительно неизвестной функции и содержащее n независимых произвольных постоянных, т. е.
![]()
Решение дифференциального уравнения в примере 1 является общим.
Частным решением дифференциального уравнения называется такое его решение, в котором произвольным постоянным придаются конкретные числовые значения.
Пример 2.
Найти общее решение дифференциального уравнения
и частное решение при
.
Решение. Проинтегрируем обе части уравнения такое число раз, которому равен порядок дифференциального уравнения.
,
.
В результате мы получили общее решение -
![]()
данного дифференциального уравнения третьего порядка.
Теперь найдём частное решение при указанных условиях. Для этого подставим вместо произвольных коэффициентов их значения и получим
.
Если кроме дифференциального уравнения задано начальное условие в виде , то такая задача называется задачей Коши . В общее решение уравнения подставляют значения и и находят значение произвольной постоянной C , а затем частное решение уравнения при найденном значении C . Это и есть решение задачи Коши.
Пример 3. Решить задачу Коши для дифференциального уравнения из примера 1 при условии .
Решение. Подставим в общее решение значения из начального условия y = 3, x = 1. Получаем
Записываем решение задачи Коши для данного дифференциального уравнения первого порядка:
При решении дифференциальных уравнений, даже самых простых, требуются хорошие навыки интегрирования и взятия производных , в том числе сложных функций . Это видно на следующем примере.
Пример 4. Найти общее решение дифференциального уравнения .
Решение. Уравнение записано в такой форме, что можно сразу же интегрировать обе его части.
.
Применяем метод интегрирования заменой переменной (подстановкой) . Пусть , тогда .
Требуется взять dx и теперь - внимание - делаем это по правилам дифференцирования сложной функции , так как x и есть сложная функция ("яблоко" - извлечение квадратного корня или, что то же самое - возведение в степень "одна вторая", а "фарш" - самое выражение под корнем):

Находим интеграл:

Возвращаясь к переменной x , получаем:
.
Это и есть общее решение данного дифференциального уравнения первой степени.
Не только навыки из предыдущих разделов высшей математики потребуются в решении дифференциальных уравнений, но и навыки из элементарной, то есть школьной математики. Как уже говорилось, в дифференциальном уравнении любого порядка может и не быть независимой переменной, то есть, переменной x . Помогут решить эту проблему не забытые (впрочем, у кого как) со школьной скамьи знания о пропорции. Таков следующий пример.
Перечислены основные типы обыкновенных дифференциальных уравнений (ДУ) высших порядков, допускающие решение. Кратко изложены методы их решения. Указаны ссылки на страницы, с подробным описанием методов решения и примерами.
СодержаниеСм. также:
Дифференциальные уравнения первого порядка
Линейные дифференциальные уравнения в частных производных первого порядка
Дифференциальные уравнения высших порядков, допускающие понижение порядка
Уравнения, решающиеся непосредственным интегрированием
Рассмотрим дифференциальное уравнение следующего вида:
.
Интегрируем n
раз.
;
;
и так далее. Так же можно использовать формулу:
.
См. Дифференциальные уравнения, решающиеся непосредственным интегрированием > > >
Уравнения, не содержащие зависимую переменную y в явном виде
Подстановка приводит к понижению порядка уравнения на единицу. Здесь - функция от .
См. Дифференциальные уравнения высших порядков, не содержащие функцию в явном виде > > >
Уравнения, не содержащие независимую переменную x в явном виде
.
Считаем, что является функцией от .
Тогда
.
Аналогично для остальных производных. В результате порядок уравнения понижается на единицу.
См. Дифференциальные уравнения высших порядков, не содержащие переменную в явном виде > > >
Уравнения, однородные относительно y, y′, y′′, ...
Для решения этого уравнения, делаем подстановку
,
где - функция от .
Тогда
.
Аналогично преобразуем производные и т.д. В результате порядок уравнения понижается на единицу.
См. Однородные относительно функции и ее производных дифференциальные уравнения высших порядков > > >
Линейные дифференциальные уравнения высших порядков
Рассмотрим линейное однородное дифференциальное уравнение n-го порядка
:
(1)
,
где - функции от независимой переменной .
Пусть есть n линейно независимых решений этого уравнения. Тогда общее решение уравнения (1) имеет вид:
(2)
,
где - произвольные постоянные. Сами функции образуют фундаментальную систему решений.
Фундаментальная система решений
линейного однородного уравнения n-го порядка - это n
линейно независимых решений этого уравнения.
Рассмотрим линейное неоднородное дифференциальное уравнение n-го порядка
:
.
Пусть есть частное (любое) решение этого уравнения. Тогда общее решение имеет вид:
,
где - общее решение однородного уравнения (1).
Линейные дифференциальные уравнения с постоянными коэффициентами и приводящиеся к ним
Линейные однородные уравнения с постоянными коэффициентами
Это уравнения вида:
(3)
.
Здесь - действительные числа. Чтобы найти общее решение этого уравнения, нам нужно найти n линейно независимых решений ,
которые образуют фундаментальную систему решений. Тогда общее решение определяется по формуле (2):
(2)
.
Ищем решение в виде .
Получаем характеристическое уравнение
:
(4)
.
Если это уравнение имеет различные корни
,
то фундаментальная система решений имеет вид:
.
Если имеется комплексный корень
,
то существует и комплексно сопряженный корень .
Этим двум корням соответствуют решения и ,
которые включаем в фундаментальную систему вместо комплексных решений и .
Кратным корням кратности соответствуют линейно независимых решений: .
Кратным комплексным корням
кратности и их комплексно сопряженным значениям соответствуют линейно независимых решений:
.
Линейные неоднородные уравнения со специальной неоднородной частью
Рассмотрим уравнение вида
,
где - многочлены степеней s1
и s2
;
- постоянные.
Сначала мы ищем общее решение однородного уравнения (3). Если характеристическое уравнение (4) не содержит корень
,
то ищем частное решение в виде:
,
где
;
;
s
- наибольшее из s1
и s2
.
Если характеристическое уравнение (4) имеет корень
кратности ,
то ищем частное решение в виде:
.
После этого получаем общее решение:
.
Линейные неоднородные уравнения с постоянными коэффициентами
Здесь возможны три способа решения.
1)
Метод Бернулли
.
Сначала находим любое, отличное от нуля, решение однородного уравнения
.
Затем делаем подстановку
,
где - функция от переменной x
.
Получаем дифференциальное уравнение для u
,
которое содержит только производные от u
по x
.
Выполняя подстановку ,
получаем уравнение n - 1
- го порядка.
2)
Метод линейной подстановки
.
Сделаем подстановку
,
где - один из корней характеристического уравнения (4). В результате получим линейное неоднородное уравнение с постоянными коэффициентами порядка .
Последовательно применяя такую подстановку, приведем исходное уравнение к уравнению первого порядка.
3)
Метод вариации постоянных Лагранжа
.
В этом методе мы сначала решаем однородное уравнение (3). Его решение имеет вид:
(2)
.
Далее мы считаем, что постоянные являются функциями от переменной x
.
Тогда решение исходного уравнения имеет вид:
,
где - неизвестные функции. Подставляя в исходное уравнение и накладывая на некоторые ограничения, получаем уравнения, из которых можно найти вид функций .
Уравнение Эйлера
Оно сводится к линейному уравнению с постоянными коэффициентами подстановкой:
.
Однако, для решения уравнения Эйлера, делать такую подстановку нет необходимости. Можно сразу искать решение однородного уравнения в виде
.
В результате получим такие же правила, как и для уравнения с постоянными коэффициентами, в которых вместо переменной нужно подставить .
Использованная литература:
В.В. Степанов, Курс дифференциальных уравнений, «ЛКИ», 2015.
Н.М. Гюнтер, Р.О. Кузьмин, Сборник задач по высшей математике, «Лань», 2003.

. Например, 

и её
первых производных.
искомой функции . Например, 