Интегрирование дробно-рациональной функции.
Метод неопределенных коэффициентов
Продолжаем заниматься интегрированием дробей. Интегралы от некоторых видов дробей мы уже рассмотрели на уроке , и этот урок в некотором смысле можно считать продолжением. Для успешного понимания материала необходимы базовые навыки интегрирования, поэтому если Вы только приступили к изучению интегралов, то есть, являетесь чайником, то необходимо начать со статьи Неопределенный интеграл. Примеры решений .
Как ни странно, сейчас мы будем заниматься не столько нахождением интегралов, сколько… решением систем линейных уравнений. В этой связи настоятельно рекомендую посетить урок А именно – нужно хорошо ориентироваться в методах подстановки («школьном» методе и методе почленного сложения (вычитания) уравнений системы).
Что такое дробно-рациональная функция? Простыми словами, дробно-рациональная функция – это дробь, в числителе и знаменателе которой находятся многочлены либо произведения многочленов. При этом дроби являются более навороченными, нежели те, о которых шла речь в статье Интегрирование некоторых дробей .
Интегрирование правильной дробно-рациональной функции
Сразу пример и типовой алгоритм решения интеграла от дробно-рациональной функции.
Пример 1
![]()
Шаг 1. Первое, что мы ВСЕГДА делаем при решении интеграла от дробно-рациональной функции – это выясняем следующий вопрос: является ли дробь правильной? Данный шаг выполняется устно, и сейчас я объясню как:
Сначала смотрим на числитель и выясняем старшую степень
многочлена:
Старшая степень числителя равна двум.
Теперь смотрим на знаменатель и выясняем старшую степень
знаменателя. Напрашивающийся путь – это раскрыть скобки и привести подобные слагаемые, но можно поступить проще, в каждой
скобке находим старшую степень
и мысленно умножаем: – таким образом, старшая степень знаменателя равна трём. Совершенно очевидно, что если реально раскрыть скобки, то мы не получим степени, больше трёх.
Вывод : Старшая степень числителя СТРОГО меньше старшей степени знаменателя, значит, дробь является правильной.
Если бы в данном примере в числителе находился многочлен 3, 4, 5 и т.д. степени, то дробь была бы неправильной .
Сейчас мы будем рассматривать только правильные дробно-рациональные функции . Случай, когда степень числителя больше либо равна степени знаменателя, разберём в конце урока.
Шаг 2.
Разложим знаменатель на множители. Смотрим на наш знаменатель:![]()
Вообще говоря, здесь уже произведение множителей, но, тем не менее, задаемся вопросом: нельзя ли что-нибудь разложить еще? Объектом пыток, несомненно, выступит квадратный трехчлен. Решаем квадратное уравнение:![]()
Дискриминант больше нуля, значит, трехчлен действительно раскладывается на множители:

Общее правило: ВСЁ, что в знаменателе МОЖНО разложить на множители – раскладываем на множители
Начинаем оформлять решение:
Шаг 3. Методом неопределенных коэффициентов раскладываем подынтегральную функцию в сумму простых (элементарных) дробей. Сейчас будет понятнее.
Смотрим на нашу подынтегральную функцию:![]()
И, знаете, как-то проскакивает интуитивная мысль, что неплохо бы нашу большую дробь превратить в несколько маленьких. Например, вот так:![]()
Возникает вопрос, а можно ли вообще так сделать? Вздохнем с облегчением, соответствующая теорема математического анализа утверждает – МОЖНО. Такое разложение существует и единственно .
Только есть одна загвоздочка, коэффициенты мы пока не знаем, отсюда и название – метод неопределенных коэффициентов.
Как вы догадались, последующие телодвижения так, не гоготать! будут направлены на то, чтобы как раз их УЗНАТЬ – выяснить, чему же равны .
Будьте внимательны, подробно объясняю один раз!
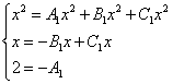
Итак, начинаем плясать от:![]()
В левой части приводим выражение к общему знаменателю:
Теперь благополучно избавляемся от знаменателей (т.к. они одинаковы):
В левой части раскрываем скобки, неизвестные коэффициенты при этом пока не трогаем:
Заодно повторяем школьное правило умножение многочленов. В свою бытность учителем, я научился выговаривать это правило с каменным лицом: Для того чтобы умножить многочлен на многочлен нужно каждый член одного многочлена умножить на каждый член другого многочлена .
С точки зрения понятного объяснения коэффициенты лучше внести в скобки (хотя лично я никогда этого не делаю в целях экономии времени):
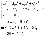
Составляем систему линейных уравнений.
Сначала разыскиваем старшие степени:
И записываем соответствующие коэффициенты в первое уравнение системы:
Хорошо запомните следующий нюанс . Что было бы, если б в правой части вообще не было ? Скажем, красовалось бы просто без всякого квадрата? В этом случае в уравнении системы нужно было бы поставить справа ноль: . Почему ноль? А потому что в правой части всегда можно приписать этот самый квадрат с нулём: Если в правой части отсутствуют какие-нибудь переменные или (и) свободный член, то в правых частях соответствующих уравнений системы ставим нули .
Записываем соответствующие коэффициенты во второе уравнение системы:
И, наконец, минералка, подбираем свободные члены.
Эх,…что-то я расшутился. Шутки прочь – математика наука серьезная. У нас в институтской группе никто не смеялся, когда доцент сказала, что разбросает члены по числовой прямой и выберет из них самые большие. Настраиваемся на серьезный лад. Хотя… кто доживет до конца этого урока, все равно будет тихо улыбаться.
Система готова:

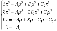
Решаем систему:
(1) Из первого уравнения выражаем и подставляем его во 2-е и 3-е уравнения системы. На самом деле можно было выразить (или другую букву) из другого уравнения, но в данном случае выгодно выразить именно из 1-го уравнения, поскольку там самые маленькие коэффициенты .
(2) Приводим подобные слагаемые во 2-м и 3-м уравнениях.
(3) Почленно складываем 2-е и 3-е уравнение, при этом, получая равенство , из которого следует, что
(4) Подставляем во второе (или третье) уравнение, откуда находим, что
(5) Подставляем и в первое уравнение, получая .
Если возникли трудности с методами решения системы отработайте их на уроке Как решить систему линейных уравнений?
После решения системы всегда полезно сделать проверку – подставить найденные значения в каждое уравнение системы, в результате всё должно «сойтись».
Почти приехали. Коэффициенты найдены, при этом:![]()
Чистовое оформление задание должно выглядеть примерно так:
![]()

Как видите, основная трудность задания состояла в том, чтобы составить (правильно!) и решить (правильно!) систему линейных уравнений. А на завершающем этапе всё не так сложно: используем свойства линейности неопределенного интеграла и интегрируем. Обращаю внимание, что под каждым из трёх интегралов у нас «халявная» сложная функция, об особенностях ее интегрирования я рассказал на уроке Метод замены переменной в неопределенном интеграле .
Проверка: Дифференцируем ответ:

Получена исходная подынтегральная функция, значит, интеграл найден правильно.
В ходе проверки пришлось приводить выражение к общему знаменателю, и это не случайно. Метод неопределенных коэффициентов и приведение выражения к общему знаменателю – это взаимно обратные действия
.
Пример 2
Найти неопределенный интеграл.![]()
Вернемся к дроби из первого примера:
. Нетрудно заметить, что в знаменателе все множители РАЗНЫЕ. Возникает вопрос, а что делать, если дана, например, такая дробь:
? Здесь в знаменателе у нас степени, или, по-математически кратные множители
. Кроме того, есть неразложимый на множители квадратный трехчлен (легко убедиться, что дискриминант уравнения
отрицателен, поэтому на множители трехчлен никак не разложить). Что делать? Разложение в сумму элементарных дробей будет выглядеть наподобие
с неизвестными коэффициентами вверху или как-то по-другому?
Пример 3
Представить функцию
Шаг 1.
Проверяем, правильная ли у нас дробь
Старшая степень числителя: 2
Старшая степень знаменателя: 8
, значит, дробь является правильной.
Шаг 2. Можно ли что-нибудь разложить в знаменателе на множители? Очевидно, что нет, всё уже разложено. Квадратный трехчлен не раскладывается в произведение по указанным выше причинам. Гуд. Работы меньше.
Шаг 3.
Представим дробно-рациональную функцию в виде суммы элементарных дробей.
В данном случае, разложение имеет следующий вид:
Смотрим на наш знаменатель:
При разложении дробно-рациональной функции в сумму элементарных дробей можно выделить три принципиальных момента:
1) Если в знаменателе находится «одинокий» множитель в первой степени (в нашем случае ), то вверху ставим неопределенный коэффициент (в нашем случае ). Примеры №1,2 состояли только из таких «одиноких» множителей.
2) Если в знаменателе есть кратный
множитель , то раскладывать нужно так:
– то есть последовательно перебрать все степени «икса» от первой до энной степени. В нашем примере два кратных множителя: и , еще раз взгляните на приведенное мной разложение и убедитесь, что они разложены именно по этому правилу.
3) Если в знаменателе находится неразложимый многочлен второй степени (в нашем случае ), то при разложении в числителе нужно записать линейную функцию с неопределенными коэффициентами (в нашем случае с неопределенными коэффициентами и ).
На самом деле, есть еще 4-й случай, но о нём я умолчу, поскольку на практике он встречается крайне редко.
Пример 4
Представить функцию
в виде суммы элементарных дробей с неизвестными коэффициентами.
Это пример для самостоятельного решения. Полное решение и ответ в конце урока.
Строго следуйте алгоритму!
Если Вы разобрались, по каким принципам нужно раскладывать дробно-рациональную функцию в сумму, то сможете разгрызть практически любой интеграл рассматриваемого типа.
Пример 5
Найти неопределенный интеграл.![]()
Шаг 1. Очевидно, что дробь является правильной:
Шаг 2.
Можно ли что-нибудь разложить в знаменателе на множители? Можно. Здесь сумма кубов
. Раскладываем знаменатель на множители, используя формулу сокращенного умножения
Шаг 3. Методом неопределенных коэффициентов разложим подынтегральную функцию в сумму элементарных дробей:
![]()
Обратите внимание, что многочлен неразложим на множители (проверьте, что дискриминант отрицательный), поэтому вверху мы ставим линейную функцию с неизвестными коэффициентами, а не просто одну буковку.
Приводим дробь к общему знаменателю:
Составим и решим систему:

(1) Из первого уравнения выражаем и подставляем во второе уравнение системы (это наиболее рациональный способ).
(2) Приводим подобные слагаемые во втором уравнении.
(3) Почленно складываем второе и третье уравнения системы.
Все дальнейшие расчеты, в принципе, устные, так как система несложная.
(1) Записываем сумму дробей в соответствии с найденными коэффициентами .
(2) Используем свойства линейности неопределенного интеграла. Что произошло во втором интеграле? С этим методом Вы можете ознакомиться в последнем параграфе урока Интегрирование некоторых дробей .
(3) Еще раз используем свойства линейности. В третьем интеграле начинаем выделять полный квадрат (предпоследний параграф урока Интегрирование некоторых дробей ).
(4) Берём второй интеграл, в третьем – выделяем полный квадрат.
(5) Берём третий интеграл. Готово.
Рациональная функция - это дробь вида , числитель и знаменатель которой - многочлены или произведения многочленов.
Пример 1. Шаг 2.
.
Умножаем неопределённые коэффициенты на многочлены, которых нет в данной отдельной дроби, но которые есть в других полученных дробях:
Раскрываем скобки и приравниваем полученое к полученному выражению числитель исходной подынтегральной дроби:
В обеих частях равенства отыскиваем слагаемые с одинаковыми степенями икса и составляем из них систему уравнений:
.
Сокращаем все иксы и получаем эквивалентную систему уравнений:
.
Таким образом, окончательное разложение подынтегральной дроби на сумму простых дробей:
.
Пример 2. Шаг 2. На шаге 1 получили следующее разложение исходной дроби на сумму простых дробей с неопределёнными коэффициентами в числителях:
.
Теперь начинаем искать неопределённые коэффициенты. Для этого числитель исходной дроби в выражении функции приравниваем к числителю выражения, полученного после приведения суммы дробей к общему знаменателю:

Теперь требуется составить и решить систему уравнений. Для этого приравниваем коэффициенты при переменной в соответствующей степени в числителе исходного выражения функции и аналогичные коэффициенты в полученном на предыдущем шаге выражения:

Решаем полученную систему:

Итак, , отсюда
.
Пример 3. Шаг 2. На шаге 1 получили следующее разложение исходной дроби на сумму простых дробей с неопределёнными коэффициентами в числителях:

Начинаем искать неопределённые коэффициенты. Для этого числитель исходной дроби в выражении функции приравниваем к числителю выражения, полученного после приведения суммы дробей к общему знаменателю:

Как и в предыдущих примерах составляем систему уравнений:

Сокращаем иксы и получаем эквивалентную систему уравнений:

Решая систему, получаем следующие значения неопределённых коэффициентов:
Получаем окончательное разложение подынтегральной дроби на сумму простых дробей:
.
Пример 4. Шаг 2. На шаге 1 получили следующее разложение исходной дроби на сумму простых дробей с неопределёнными коэффициентами в числителях:
.
Как приравнивать числитель исходной дроби к выражению в числителе, полученному после разложения дроби на сумму простых дробей и приведения этой суммы к общему знаменателю, мы уже знаем из предыдуших примеров. Поэтому лишь для контроля приведём получившуюся систему уравнений:

Решая систему, получаем следующие значения неопределённых коэффициентов:
Получаем окончательное разложение подынтегральной дроби на сумму простых дробей:

Пример 5. Шаг 2. На шаге 1 получили следующее разложение исходной дроби на сумму простых дробей с неопределёнными коэффициентами в числителях:
.
Самостоятельно приводим к общему знаменателю эту сумму, приравнивать числитель этого выражения к числителю исходной дроби. В результате должна получиться следующая система уравнений:
Решая систему, получаем следующие значения неопределённых коэффициентов:
.
Получаем окончательное разложение подынтегральной дроби на сумму простых дробей:
.
Пример 6. Шаг 2. На шаге 1 получили следующее разложение исходной дроби на сумму простых дробей с неопределёнными коэффициентами в числителях:
![]()
Производим с этой суммой те же действия, что и в предыдущих примерах. В результате должна получиться следующая система уравнений:

Решая систему, получаем следующие значения неопределённых коэффициентов:
.
Получаем окончательное разложение подынтегральной дроби на сумму простых дробей:
.
Пример 7. Шаг 2. На шаге 1 получили следующее разложение исходной дроби на сумму простых дробей с неопределёнными коэффициентами в числителях:
.
После известных действий с полученной суммой должна получиться следующая система уравнений:

Решая систему, получаем следующие значения неопределённых коэффициентов:
Получаем окончательное разложение подынтегральной дроби на сумму простых дробей:
.
Пример 8. Шаг 2. На шаге 1 получили следующее разложение исходной дроби на сумму простых дробей с неопределёнными коэффициентами в числителях:
.
Внесём некоторые изменения в уже доведённые до автоматизма действия для получения системы уравнений. Есть искусственный приём, который в некоторых случаях помогает избежать лишних вычислений. Приводя сумму дробей к общему знаменателю получаем и приравнивая числитель этого выражения к числителю исходной дроби, получаем.
Одним из важнейших классов функций, интегралы от которых выражаются через элементарные функции, является класс рациональных функций.
Определение 1.
Функция вида
где
-
многочлены степеней
n
и
m
называется рациональной. Целая
рациональная функция, т.е. многочлен,
интегрируется непосредственно. Интеграл
от дробно-рациональной функции можно
найти путем разложения на слагаемые,
которые стандартным образом преобразуются
к основным табличным интегралам.
Определение 2.
Дробь
называется
правильной, если степень числителя
n
меньше степени знаменателя
m
.
Дробь, у которой степень числителя
больше или равна степени знаменателя,
называется неправильной.
Любую неправильную дробь можно представить в виде суммы многочлена и правильной дроби. Это делается посредством деления многочлена на многочлен «столбиком», подобно делению чисел.
Пример.
Представим дробь
в виде суммы многочлена и правильной
дроби:
x
- 1


3
3

3

Первое слагаемое
в частном получается как результат
деления старшего члена
,
делимого на старший членх
делителя. Затем умножаем
на делительх-1
и полученный результат вычитаем из
делимого; аналогично находятся остальные
слагаемые неполного частного.
Выполнив деление многочленов, получим:
Это действие называется выделением целой части.
Определение 3. Простейшими дробями называются правильные рациональные дроби следующих типов:
I.

II.
(K=2,
3, …).
III.
где квадратный трехчлен

IV.
где К=2, 3, …; квадратный трехчлен
не имеет действительных корней.
а) разложить
знаменатель
на простейшие действительные множители
(согласно основной теореме алгебры это
разложение может содержать линейные
двучлены вида
и квадратные трехчлены
,
не имеющие корней);
б) написать схему
разложения данной дроби на сумму
простейших дробей. При этом каждому
сомножителю вида
соответствуетk
слагаемых видов I
и II:

каждому сомножителю
вида
соответствует
е слагаемых видовIII
и IV:
Пример.
Записать схему
разложения дроби
в сумму простейших.
в) выполнить сложение полученных простейших дробей. Записать равенство числителей полученной и исходной дробей;
г) найти коэффициенты
соответствующего разложения:
(методы решения будут рассмотрены
ниже);
д) найденные значения коэффициентов подставить в схему разложения.
Интегрирование всякой правильной рациональной дроби после разложения на простейшие слагаемые сводится к нахождению интегралов одного из типов:




(k и e =2, 3, …).
Вычисление
интеграла
сводится к формулеIII:

интеграла
- к формулеII:
интеграл
можно найти по правилу, указанному в
теории интегрирования функций, содержащих
квадратный трехчлен;
- путем преобразований, показанных
ниже в примере 4.
Пример 1.

а) разложим знаменатель на множители:
б) напишем схему разложения подынтегральной функции на слагаемые:

в) выполним сложение простейших дробей:

Запишем равенство числителей дробей:
г) для нахождения неизвестных коэффициентов A, B, C существуют два метода.
Два многочлена равны тогда и только тогда, когда равны их коэффициенты при одинаковых степенях х , поэтому можно составить соответствующую систему уравнений. В этом заключается один из методов решения.
Коэффициенты
при

свободные члены
(коэф. при
):4А=8.
Решив систему, получим А=2 , В=1 , С= - 10 .
Другой метод - частных значений будет рассмотрен в следующем примере;
д) подставим найденные значения в схему разложения:

Подставляя под знак интеграла полученную сумму, и интегрируя каждое слагаемое отдельно, найдем:
Пример 2.

Тождество есть равенство, справедливое при любых значениях входящих в него неизвестных. На этом основан метод частных значений. Можно придавать х любые значения. Удобнее для вычислений брать те значения, которые обращают в нуль какие-либо слагаемые в правой части равенства.
Пусть х = 0 . Тогда 1 = А 0(0+2)+В 0 (0-1)+С (0-1)(0+2).
Аналогично при х = - 2 имеем 1= - 2В*(-3 ), при х = 1 имеем 1 = 3А .
Следовательно,

Пример 3.

г) сначала воспользуемся методом частных значений.
Пусть х = 0 , тогда 1 = А 1, А = 1 .
При х = - 1 имеем - 1+4+2+1 = - В(1+1+1) или 6 = - 3В , В = - 2 .
Для нахождения
коэффициентов С и D
нужно составить еще два уравнения. Для
этого можно взять любые другие значения
х
,
например х
= 1
и х
= 2
. Можно
воспользоваться первым методом, т.е.
приравнять коэффициенты при каких-либо
одинаковых степенях х
,
например при
и
.
Получим
1 = А+В+С и 4 = С + D – В.
Зная А = 1 , В = -2 , найдем С = 2 , D = 0 .
Таким образом, при вычислении коэффициентов можно сочетать оба метода.

Последний интеграл
находим отдельно по правилу, указанному
в методе веления новой переменной.
Выделим полный квадрат в знаменателе:

положим,
тогда
Получим:
=

Подставляя в предыдущее равенство, найдем

Пример 4.
Найти

б)

д)

Интегрируя, имеем:

Первый интеграл преобразуем к формуле III:
Второй интеграл преобразуем к формуле II:
В третьем интеграле
заменим переменную:


(При выполнении
преобразований воспользовались формулой
тригонометрии

Найти интегралы:
51.

52.

53.

54.

55.

56.

57.

58.

Вопросы для самопроверки.
Какие из данных рациональных дробей являются правильными:
2. Верно ли записана схема разложения дроби на сумму простейших дробей?
«Математик так же, как художник или поэт, создает узоры. И если его узоры более устойчивы, то лишь потому, что они составлены из идей... Узоры математика так же, как узоры художника или поэта, должны быть прекрасны; идеи так же, как цвета или слова, должны соответствовать друг другу. Красота есть первое требование: в мире нет места для некрасивой математики ».
Г.Х.Харди
В первой главе отмечалось, что существуют первообразные довольно простых функций, которые уже нельзя выразить через элементарные функции. В связи с этим, огромное практическое значение приобретают те классы функций, о которых можно точно сказать, что их первообразные – элементарные функции. К такому классу функций относятся рациональные функции , представляющие собой отношение двух алгебраических многочленов. К интегрированию рациональных дробей приводят многие задачи. Поэтому очень важно уметь интегрировать такие функции.
2.1.1. Дробно-рациональные функции
Рациональной дробью (или дробно-рациональной функцией )называется отношение двух алгебраических многочленов:
где и – многочлены.
Напомним, что многочленом (полиномом , целой рациональной функцией ) n -й степени называется функция вида
где
– действительные числа. Например,
![]()
– многочлен первой степени;
– многочлен четвертой степени и т.д.
Рациональная дробь (2.1.1) называется правильной , если степень ниже степени , т.е. n <m , в противном случае дробь называется неправильной .
Любую неправильную дробь можно представить в виде суммы многочлена (целой части) и правильной дроби (дробной части). Выделение целой и дробной частей неправильной дроби можно производить по правилу деления многочленов «уголком».
Пример 2.1.1. Выделить целую и дробную части следующих неправильных рациональных дробей:
а)
, б)
.
Решение . а) Используя алгоритм деления «уголком», получаем

Таким образом, получаем
.
б) Здесь также используем алгоритм деления «уголком»:

В результате, получаем
.
Подведём итоги. Неопределённый интеграл от рациональной дроби в общем случае можно представить суммой интегралов от многочлена и от правильной рациональной дроби. Нахождение первообразных от многочленов не представляет трудностей. Поэтому в дальнейшем будем рассматривать в основном правильные рациональные дроби.
2.1.2. Простейшие рациональные дроби и их интегрирование
Среди правильных рациональных дробей выделяют четыре типа, которые относят кпростейшим (элементарным) рациональным дробям:
|
3) |
4) |
где – целое число,
, т.е. квадратный трёхчлен
не
имеет действительных корней.
Интегрирование простейших дробей 1-го и 2-го типа не представляет больших трудностей:
, (2.1.3)
. (2.1.4)
Рассмотрим теперь интегрирование простейших дробей 3-го типа, а дроби 4-го типа рассматривать не будем.
Начнём с интегралов вида
.
Данный интеграл обычно вычисляют путем выделения полного квадрата в знаменателе. В результате получается табличный интеграл следующего вида
или
.
Пример 2.1.2. Найти интегралы:
а)
, б)
.
Решение . а) Выделим из квадратного трёхчлена полный квадрат:
Отсюда находим
б) Выделив из квадратного трёхчлена полный квадрат, получаем:
Таким образом,
.
Для нахождения интеграла

можно
выделить в числителе производную знаменателя и разложить интеграл на сумму двух
интегралов: первый из них подстановкой
сводится
к виду
,
а второй – к рассмотренному выше.
Пример 2.1.3. Найти интегралы:
.
Решение
. Заметим,
что
. Выделим в числителе производную
знаменателя:
Первый
интеграл вычисляется при помощи подстановки
:
Во втором интеграле выделим полный квадрат в знаменателе
Окончательно, получаем
2.1.3. Разложение правильной рациональный
дроби
на сумму простейших дробей
Любую правильную рациональную дробь
можно представить единственным
образом в виде суммы простейших дробей. Для этого знаменатель нужно разложить на множители. Из высшей алгебры известно, что каждый многочлен с
действительными коэффициентами
Интегрирование рациональных функций Дробно – рациональная функция Простейшие рациональные дроби Разложение рациональной дроби на простейшие дроби Интегрирование простейших дробей Общее правило интегрирования рациональных дробей
многочлен степени n. Дробно – рациональная функция Дробно – рациональной функцией называется функция, равная отношению двух многочленов: Рациональная дробь называется правильной, если степень числителя меньше степени знаменателя, то есть m < n , в противном случае дробь называется неправильной. многочлен степени m Всякую неправильную рациональную дробь можно, путем деления числителя на знаменатель, представить в виде суммы многочлена L(x) и правильной рациональной дроби:)()()(x. Q x. P xf n m)()()(x. Q x. R x. L x. Q x. P
Дробно – рациональная функция Привести неправильную дробь к правильному виду: 2 95 4 x xx 95 4 xx 2 x 3 x 34 2 xx 952 3 xx 2 2 x 23 42 xx 954 2 xx x 4 xx 84 2 93 x 3 63 x 15 2 95 4 x xx 342 23 xxx 2 15 x
Простейшие рациональные дроби Правильные рациональные дроби вида: Называются простейшими рациональными дробями типов. ax A); 2(Nkk ax A k)04(2 2 qp qpxx NMx); 2; 04(2 2 Nkkqp qpxx NMx k V V,
Разложение рациональной дроби на простейшие дроби Теорема: Всякую правильную рациональную дробь, знаменатель которой разложен на множители: можно представить, притом единственным образом в виде суммы простейших дробей: s k qxpxxxxxx. Q)()()(22 2 11 2 21)()(x. Q x. P 1 xx A k k xx B)()(2 2 2 1 11 2 qxpx DCx 2 22 22 2 11)(qxpx Nx. M s ss qxpx Nx. M)(
Разложение рациональной дроби на простейшие дроби Поясним формулировку теоремы на следующих примерах: Для нахождения неопределенных коэффициентов A, B, C, D … применяют два метода: метод сравнивания коэффициентов и метод частных значений переменной. Первый метод рассмотрим на примере. 3 2)3)(2(4 xx x 2 x A 3 3 2 21)3()3(3 x B x B 1 2 x DCx 22 22 2 11)1(1 xx Nx. M)1(3 22 3 xx x 2 21 x A 22 2)1)(4(987 xxx xx 4 x
Разложение рациональной дроби на простейшие дроби Представить дробь в виде суммы простейших дробей: Приведем простейшие дроби к общему знаменателю Приравняем числители получившейся и исходной дробей Приравняем коэффициенты при одинаковых степенях х)52)(1(332 2 2 xxx xx 1 x A 52 2 xx CBx)52)(1()1)(()52(2 2 xxx x. CBxxx. A 33252 222 xx. CBx. Cx. Bx. AAx. Ax 35 32 2 0 1 2 CAx BAx 2 3 1 C B A 52 23 1 1 2 xx x x
Интегрирование простейших дробей Найдем интегралы от простейших рациональных дробей: Интегрирование дроби 3 типа рассмотрим на примере. dx ax A k dx qpxx NMx 2 ax axd A)(Cax. Aln)(axdax. A k C k ax. A k
Интегрирование простейших дробейdx xx x 102 13 2 dx xx x 9)12(13 2 dx x x 9)1(13 2 dtdx tx tx 1 1 dt t t 9 1)1(3 2 dt t t 9 23 2 9 322 t dtt 9 9 2 3 2 2 t td 33 2 t arctg. C t arctgt 33 2 9 ln 2 32 C x arctgxx 3 1 3 2 102 ln
Интегрирование простейших дробей Интеграл данного типа с помощью подстановки: приводится к сумме двух интегралов: Первый интеграл вычисляется методом внесения t под знак дифференциала. Второй интеграл вычисляется с помощью рекуррентной формулы: dx qpxx NMx k 2 V t p x 2 kk at dt N at dtt M 22122 1221222))(1(222 321 kkkk atk t k k aat dt
Интегрирование простейших дробей a = 1; k = 3 323)1(t dt tarctg t dt 1 21)1)(12(2222 322 1 21222 t t t dt)1(22 1 2 t t tarctg 2223)1)(13(2232 332 t t C t t tarctg 222)1(4)1(
Общее правило интегрирования рациональных дробей Если дробь неправильная, то представить ее в виде суммы многочлена и правильной дроби. Разложив знаменатель правильной рациональной дроби на множители, представить ее в виде суммы простейших дробей с неопределенными коэффициентами Найти неопределенные коэффициенты методом сравнения коэффициентов или методом частных значений переменной. Проинтегрировать многочлен и полученную сумму простейших дробей.
Пример Приведем дробь к правильному виду. dx xxx 23 35 2 442 35 xxxxxx 23 2 2 x 345 2 xxx 442 34 xxx x 2 234 242 xxx 4425 23 xxx xxx 23 35 2 442 xxx xx xx 23 2 2 2 48 52 5 xxx 5105 23 48 2 xx
Пример Разложим знаменатель правильной дроби на множители Представим дробь в виде суммы простейших дробей Найдем неопределенные коэффициенты методом частных значений переменной xxx xx 23 2 2 48 2 2)1(48 xx xx 2)1(1 x C x B x A 2 2)1()1(xx Cxx. Bxx. A 48)1()1(22 xx. Cxx. Bxx. A 5241 31 40 CBAx Cx Ax 3 12 4 C B A xxx xx 23 2 2 48 2)1(3 1 124 xxx
Пример dx xx 2 2)1(3 1 124 52 2 2)1(3 1 12452 x dx dxxdxdxx C x xxxx x 1 3 1 ln 12 ln
,
,